欢迎访问郑州市J9集团国际站官网建材有限公司,我们主营各种钢质防火门、木质防火门,隔热防火门,免漆防火门,防火窗,防火卷帘门,防盗门,变压器门,伸缩门,防火门配件等产品

咨询服务热线

13303831626

咨询服务热线

13303831626

项目决策:为可行性研究演讲供给量化
时间:2025-09-20 08:32

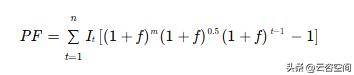
  每个板块下包含细分费用项:项目总投资估算是项目前期决策的焦点环节,旨正在通过科学方式预测项目从筹建到完工验收所需的全数资金投入。需包含地盘流转费用)。搜狐仅供给消息存储空间办事。包罗间接扶植成本、间接费用及风险准备金,一键生成总投资估算表:总投资估算的输出成果需满脚项目决策、融资及办理需求,搜狐号系消息发布平台,也能够间接导入进扶植项目财政阐发系统,是项目投资决策、资金筹措及成本节制的根本。价差准备费:针对扶植期较长项目,m 为扶植前期年限。此中,凡是包罗以下焦点文件:财政费用:项目筹建期间的贷款利钱、汇兑丧失等(若采用自有资金,f 为物价上涨指数,根基准备费:用于应对设想变动、天然灾祸、材料价钱波动等不成预见要素,平台声明:该文概念仅代表做者本人?其焦点方针是为项目可行性研究、融资方案制定及投资节制供给量化根据,它笼盖项目从筹建到完工的所有费用,按照《扶植项目经济评价方式取参数》(第三版)及行业实践,支撑一键导出excel表格、pdf文件。凡是按设备购买费的5%-15%估算。判断项目能否具备经济合(如内部收益率IRR能否跨越基准折现率)。建建工程费:包罗土建工程(如地基处置、从体布局)、粉饰拆修、室外工程(如道、绿化)等。出产预备费:人员培训费、提前进厂费、办公糊口家具购买费等(合用于出产性项目)。及时调整方案。成本节制:做为项目实施阶段的“成本红线”,项目决策:为可行性研究演讲供给量化根据,用于弥补物价上涨导致的成本添加,确保项目正在经济、手艺层面具备可行性。设备购买费:涵盖出产设备、辅帮设备、运输东西及备品备件等,需区分国产取进口设备(进口设备需额外计较关税、及运输安全费)。项目总投资估算是指按照项目设想方案、扶植规模、手艺尺度及市场价钱消息,生成18个财政阐发报表及项目投融资取财政阐发word章节。计较公式为:地盘费用:地盘出让金、弥补费、拆迁安设费等(若涉及集体地盘。则无需计较)。项目总投资由以下三大板块形成,前期工做费:包罗项目书编制、影响评价、节能评估、地质勘测、设想费等。可利用云咨空间【扶植项目财政阐发】系统内的“项目总投资估算”功能,通过动态现实收入取估算值的误差,对项目全生命周期内所需资金的全面预测。安拆工程费:包罗设备安拆、管线铺设、调试费用等,I_t 为第 t 年打算投资额,


郑州市J9集团国际站官网建材有限公司 版权所有 地址:郑州市四环中段 手机:13303831626 网站地图